in: R.F.Albrecht, C.R.Reeves and N.C.Steele (Eds.) Artificial Neural Nets and Genetic Algorithms, Springer Verlag, Wien, pages. 213-220, April 1993 POSTSCRIPT

Connectionist Unifying Prolog

V. Weber
University of Hamburg, Computer Science Department, Natural Language Systems Division
D-2000 Hamburg 50, Bodenstedtstr. 16, Germany
e-mail: weber@nats4.informatik.uni-hamburg.de


Abstract

We introduce an connectionist approach to unification using a local and a distributed representation. A Prolog-System using these unification-strategies has been build.

Prolog is a Logic Programming Language which utilizes unification. We introduce a uncertainty measurement in unification. This measurement is based on the structure-abilities of the chosen representations. The strategy using a local representation, called l-CUP, utilizes a self-organizing feature-map (FM-net) to determine similarities between terms and induces the representation for a relaxation-network (relax-net). The strategy using a distributed representation, called d-CUP, embeds a similarity measurement by its recurrent representation. It has the advantage that similar terms have a similar representation. The unification itself is done by a back-propagation network (BP-net).

We have proven the systems adequacy for unification, its efficient computation, and the ability to do extended unification.

1 Introduction

Unification is generalized matching. It can be seen as the process of finding unifying substitutions or a unifier: Mappings like {X <- cat, Y <- cat} are called substitutions. They can be applied to terms resulting in objects that differ only in that each variable appearing to the left of an arrow is replaced by the corresponding term to the right of the arrow. A unifier for two terms is a set of substitutions whose application to either of them produces the same result. Thus each of the substitutions above is a unifier for the terms hairy(X) and hairy(Y). For these two terms the effect of any unifier can be obtained by first applying the substitution {X <- Y} and then instantiating further. We call {X <- Y} a most-general-unifier (or mgu for short) for hairy(X) and hairy(Y).

Applications for unification
There is a wide field of applications for unification like database systems, knowledge acquisition, computer graphics, natural language processing, expert systems, algebra, deduction- and rewrite-systems, as well as logic programming [13].

Unification Rules
Classical symbolic unification-algorithms just consist of four rules for unification and two for termination. If t1 and t2 are the terms to be unified (X variable, t term, f, g functors, x arbitrary symbol) a system R = {(t1=t2)} is said to be unifyable if after termination of the following algorithm the set R' equals Ø [6]:
1.
terminating rules (have to be used, if match):

(f(...) = g(...)) in R and f ¬ = g (CLASH)
(X = t) in R and X occurs in t (OCCURRANCE)


2.
unification rules:

(f(t11,..., t1n) =
f(t21,..., t2n)) in R
==> R' := R\(f(t11,..., t1n) = f(t21,..., t2n)) U
{(t11 = t21), ... , (t1n = t2n)}
(DECOMPOSITION)
(x=x) in R ==> R' := R\(x=x) (TAUTOLOGY)
(X=t) in R ==> R' := {{X <- t}S | S in R} (APPLICATION)
(t=X) in R ==> R' := R\(t=X) U {(X=t)} (ORIENTATION)


After the application of a unification-rule the set R' becomes again R and the algorithm iterates since R becomes Ø, or a termination rule has to be used. This rule-system seems to be rather small and to be computed efficient. Automatical theorem provers, like Prolog, however, spend often more than 50% of time for unification. For an efficient computation a skill selection of unification-rules is needed. Also the occur-check is very expensive. Some strategies use infinite unification which does not need to check occurrence.

Strategies
Herbrand marks the beginning of logic programming with the first prototype of a unification algorithm [9]. The widest known algorithm is that of Robinson [24, 25]. This algorithm has a exponential time-complexity. Boyer and Moore's `structure sharing'-algorithm reduced space-complexity but time complexity was still as bad as Robinson's [3]. In 1975 Venturini-Zilli introduced a marker strategy which reduces time-complexity to O(n ²) [36]. Huet gave a almost linear algorithm for a infinite unification strategy (strategy which need not to check occurrence) [11]. Paterson and Wegman introduced the first linear strategy [19]. The disadvantage of their method is a relative complex data-structure which leeds to time consuming computation in the average case. Later approaches often have time-complexities worse to their approach in worst case [16]. There are also some parallel algorithms [8, 37, 41], but the sequential nature of unification has been shown [5, 41]. Some unification strategies use special hardware (transputers, unification-coprocessors, Prolog-machines) [7, 12, 26].

Most connectionist approaches implement only parts of unification. Also, the well known approach of Ballard [1] belongs to this category. Those of Müller, Stolcke and Hölldobler [10, 18, 31] implement unification for different purposes. Their approaches are based on symbolic strategies and implemented with a high degree of parallelism.

Our approach
Our approach implements full unification. It is also possible to use infinite unification, and other extensions. Moreover it is possible to set fuzzy-slots which are basis for the uncertainty-management. For this it is in addition possible to fuzzy-unify (fuzzify) terms which are similar. We saw the possibility to build a system with The next section introduces extensions to unification, like E-unification (unification under a certain equational-theory E) or fuzzification. Section 3 explains the used representations. The basic architecture for the overall system is described in the next section. We will focus on the strategies used by l-CUP and d-CUP in section 5. There we also introduce the networks themselves. The results show some experiments with the system. Before the conclusion we discuss the results and system in comparison to other approaches.

2 Extended Unification

E-Unification
There exist some extensions to simple unification like the so called E-unification. E is an equational theory defined by a set of axioms. It induces the reflexive, transitive and antisymetric congruence =E on the set of terms. If we have a set of E-equations {s1 =E t1, ..., sn =E tn} than f(s1, ..., sn) =E f(t1, ..., tn) is E-unifyable. In such a theory the terms s, t are called E-equal, iff s =E t. A E-unification with empty equational theory is called syntactic (kind of unification normally used in Prolog). A unification with unrestricted equational theory is called semantic [4]. In Prolog there are only two terms to be unified. It is, however, possible to unify more than two terms. The couple of terms to be unified is called an equational-system. For a E-unification-problem it is necessary to calculate the minimum of solutions. From this it is possible to get all other unifiers of a equational-system. A set of unifiers for an equational-system is called complete, iff every unifier of the equational-system is an instance of one of its elements. This set is called minimal, iff non of its elements is an instance of another. There are four unification-classes: Unitary unifying theories (Uu(E), iff for every unification-problem exists a minimal complete solution-set), finite unifying theories (Uf(E), iff minimal complete solution-sets exist and this sets are finite), infinite unifying theories (Ui(E), iff minimal complete solution-sets exist but there is at least one set which is infinite) and theories of type zero (U0(E), iff exists a unification-problem in this theory which does not have a minimal complete solution-set). Prolog uses a unitary unification.

Fuzzification
The unification strategy described in this paper uses another extension to unification. We call it fuzzification. It was mentioned by Stolcke in 1988 as fuzzy-unification [31, p.88]. It is a technique which allows not only strict unification but also unification of terms which are more or less similar. Therefore a similarity measure has to be introduced. In symbolic systems someone has to define a similarity criterion or if we look at fuzzy logic we have to define fuzzy sets and membership-functions. We make use of the fact that different activations of units may be seen as a similarity measure for terms. In section 3 we see representations which allow to encode similarities of constants or terms (figure 1 and 2).

A Prolog-dialect with Fuzzy-slots
In our approach we control the certainty from the symbolic system by fuzzy slots. A fuzzy slot is defined by the predicate:

cup_fuzzy_slot(Fuzzy variable, Fuzzy term, Belief).

It gives every term compatible with the fuzzy variable a particular belief-value in a context which is compatible with the fuzzy term. For example: By cup_fuzzy_slot(X, hunt(X, cat(tom)), low) we set a low belief-value for the first argument of hunt/2 in the context of cat(tom). If we think of a data-base were hunt/2 is ment as hunt(Actor, Recipient) not only a dog could hunt a cat but in the case of cat(tom) also the mouse jerry could hunt tom. This is possible, due to fuzzification, even if no rule or fact for this is in the data-base.

3 Representations

It is necessary to be able to code terms exact, cause unification is a exact method. Therefore we have to draw special attention to the representation-problem, cause ''a poor presentation will often doom the model to failure, and an excessively generous representation may essentially solve the problem in advance'' [30].

Matrix-representation for l-CUP
For l-CUP we utilize a representation similar to that of Hölldobler [10]. This representation may be called local cause there is one unit for every constant at every (argument-)position of a term. On the other hand there is no local coding of every possible term or every possible substitution (ref. [1]). We represent terms as follows 1: Atoms/functors (constants) are represented by a cube of vectors. Each vector represents one constant. Variables are represented by variable-vectors. All column-vectors (those of the cube and the variable-vectors) have the same number of components. Each component of a vector (or layer of the cube) represents one position of a term.

Figure 1: Coding of terms and mapping of similarities
A variable-binding is represented by corresponding activation-patterns of a variable-vector and a column-vector. For example: In figure 1 variable Y is bound to constant tom/0. The depicted coding represents the term hunt(cat(tom),X). The units of the representation are activated with values between 0.0 and 1.0 corresponding to their certainty. A FM-net [14] is trained with a symbolic metric to get a order of vectors. This order represents similarities between constants cause of the symbolic metric (see section 5.1.1).

TCO-representation for d-CUP
For d-CUP we utilize a representation similar to HRR (Holographic Reduced Representation [21, 22]. Plate introduced this circular convolution based representation for short structures, sequences, and variable-bindings. The convolution-operation given by vec(x) otimes vec(y) = vec(z) with Sumj=0^(n-1) xj * yn-j+i. There exists now exact inverse of circular convolution. Plate makes use of the circular correlation - an approximative inverse of circular correlation - which may be defined as vec(x) otimes vec(y)" (vec(x)" = vec(z) with zi = xn-i). We construct a new operation called TCO ( Term Coding Operation). It is based on HRR and defined for vectors vec(x), vec(y) in [0, 1]^n U vec(1) by vec(x) xtimes vec(y) = 2/n(vec(x) otimes (vec(y) oplus vec(1))), where ||vec(x)||L1 = ||vec(y)||L1 = n/2 (||vec(x)||Ln = nth-root(|x^n_i|), vec(1) = (n/2 0 0 0 ... 0)). The operation vec(x) oplus vec(y) is defined by the vector addition where every component is divided by 2. For the TCO we found the exact inverse every time during experiments. An advantage for representing structured terms is the non-commutativeness of the TCO. This makes it possible to represent order. Other features which are also advantages of the HRR as the associativeness and the great influence of a leftmost member of a sequence for the coding are preserved. Moreover the coding-vectors are all normalized to the sum of absolutes (L1-norm; n/2). The coding of a term with TCO is done in the following way:

A coding of the term hunt(cat(tom),X) will be depicted in figure 2.


Figure 2: TCO-representation of a term
In our hybrid theorem prover we used vectors vec(x) in {0,1}^n and ||vec(x)||L1 = n/2 for the representation of every constant and variable. With the chosen number of vector-components (32) per term it is possible to distinguish between (n above n/2) = 601,080,300 constants or variables. The vectors are computed from its internal number by a hashing-function. They are also decoded by a hashing-function. The local coding for constants and distributed representations for terms is depicted in figure 2. Circular convolution is done in the frequence-domain rather than in the time-domain. Therefore we need linear time for convolution and O(n log n)-time for transformation.

4 A hybrid theorem prover

Using the described representations a hybrid theorem prover named CUP (Connectionist Unifying Prolog) was built. The CUP system contains several symbolic algorithms, as well as the local l-CUP [40]) and the distributed strategy (d-CUP [38]). The theorem-prover itself is a symbolic system. If the system needs to calculate a mgu the currently selected unification-strategy is invoked.

Figure 3: CUP-system
The overall-system is depicted in figure 3. The TIV is used to give all constants of a Prolog-program an internal number and determine network-sizes. Also fuzzy slots are extracted and coded as real numbers for fuzzification.

5 Strategies

5.1 l-CUP

The system is divided in two phases: The analysis-phase, where a program has to be analyzed, a coding takes place, and the system is trained. In the unification-phase the network can be used during a symbolic-proof.

5.1.1 Analysis Phase

After the consultation of a Prolog-program the training vectors are encoded and the relax-net (figure 5) is constructed. The map is trained and the order of the constants is mapped to the column-vectors of the relax-net (figure 1).

Training the map
The chosen representation of terms allows us to use uncertainty and similarities during processing. Similarities between constants are expressed by neighborhoods in the feature map. Figure 4 shows the representation of such similarities for the following predicates:
    ped(cat).      ped(dog).      ped(tom).
    ped(jerry).    hairy(cat).    hairy(dog).
  
These predicates induce a similarity between ped/1 and hairy/1. For both there are facts ...(cat) and ...(dog). This is represented by a direct neighborhood (figure 4). The training-vectors for the FM-net are significance-vectors and determined as follows: For every occurring constant in a Prolog-system a vector is generated. This vector contains a component for every occurring constant. These components contain the number of terms, where the constant it encodes and the constant the vector encodes occur in common. The vectors are normalized over all components. Therefore a significance-vector for ped/1 and our example predicates is:
- ped/1 cat/0 dog/0 tom/0 jerry/0 hairy/1
ped/1 0.00 0.25 0.25 0.25 0.25 0.00

Figure 4: Representation of similarities
Training-vectors are used by the FM-net to find relationships between different terms. Such a coding is adequate since a position in a Prolog-program is often connected to a distinct meaning. If there are different constants at the same position this constants are often used in the same context and therefore similar to some degree. Numbers of similarities between terms can be used to fix similarities between different constants. Similar constants may be members of one class. FM-nets are said to reduce high-dimensional dependencies to a lower-dimensionality conserving many similarities.

5.1.2 Unification Phase

The unification-step in l-CUP is based on the coding described in section 3. Terms to be unified are encoded in the same net and the same variable-vectors by superposition of activations. Superposition is done by activating a unit with the maximum of activations. The relax-net computes the weights of a second FM-net. Activations of units of the stable relax-net represent weights of the map.

Relaxation-Net
The coding of two terms is presented to a relax-net (figure 5). After relaxation the variable-vectors are matched into the net to determine the binding. To make use of unification with uncertainty the units of the representation are initialized to values between 0.0 and 1.0. If uncertainty is used also units in the neighborhood are initialized.

Figure 5: Relaxation network
Units of the relax-net
Following we present a description of the unit-types. The connection structure and activation-functions can be found in the appendix and in a paper focusing on l-CUP [40].

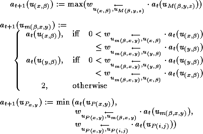
Components of the column-vectors (u(x,ß)) are activated if a constant or variable ß occurs on position x. Different degrees of activations mean different degrees of certainty.

Minimum units (um(ß,x,y)) receive activation only through the units of the variable vectors (ß in V). They become active if one variable ß occurs on two different positions x and y.

The maximum units (uM(ß,x,y)) are the counterpart of this units. If a variable occurs on two different positions x and y it is needed to activate all units representing symbols at position x and y equal. This is done by the maximum units.

The position-pairs (uP(x,y)) are needed to control the maximum units. They are also needed to guarantee for the unification of substructures and have therefore connections between each other.

The net utilizes a synchronized update.

Determine stable state
The activation of a unit of the position-pairs changes if two units of a variable-vector are active, or an activation through the units of the position-pairs takes place. It follows that the activations of the units of the position-pairs are changed if the stable state is not reached. Therefore only the units of the position-pairs have to be tested for a stable state. The activation of the units of the position-pairs can only decrease or become stable. Their lowest activity is 0. Therefore the net is at least stable if the activity of all position-pair-units is 0.

Determine the mgu
After reaching the stable state the variable-vectors are matched through all column-vectors. Two corresponding vectors indicate a variable-binding. All variable-bindings form the mgu.

Determine non unifyability

So far it was not mentioned that two terms might not be unifyable. The two terminating-rules CLASH and OCCURRENCE are easy to integrate into the relaxation net. For infinite unification the OCCURRENCE-unit uO is not needed. A CLASH is indicated by an activation which exceeds 1 as the sum over all units of a layer (figure 6). OCCURRENCE is determined by activating two units of the position-pairs, where one decodes a position which represents a sub-term of the other (figure 6).


Figure 6: CLASH and OCCURRENCE in l-CUP
How to prove correctness
The correctness and completeness of the method can be proven by a mapping to the unification-rules. This is sufficient for a proof cause the correctness and completeness of the unification-rules are proven: The CLASH- and OCCURRENCE-units do in fact the same as the corresponding rules. The system needs no ORIENTATION-rule cause there is no orientation in the representation. The DECOMPOSITION-rule may be found in the representation where the same position in different terms activates units in the same layer. TAUTOLOGY is represented by the activation of the same unit by two different terms and APPLICATION by activation of units of a variable-vector and of a column-vector in the same components. The method terminates always cause the relax-net will reach a stable state. A detailed proof can be found at Weber [39].

5.2 d-CUP

The system is also divided in two phases: The analysis-phase, where a program has to be analized, a coding takes place and the system is trained. In the unification-phase the net can be used during a proof.

5.2.1 Analysis Phase

In the analysis phase the TCO-coding of the data-base takes place (see section 3). We use the PlaNet-simulator [17] for training and graphical presentations of term-encodings. For training the unification network is divided in two parts: the unification problem network (UPN), and the unification decision problem network (UDPN; figure 7). The size of the network depends on the size of the representation for terms.

Setup network
UPN's output is a suggested mgu, a term with instantiated variables, and for UDPN a unit for the decision if terms at input are unifyable (figure 7). This unit can be taken as signal for certainty of unifyability. The observation of the certainty-unit of the network allows to introduce uncertainty in unification. This can be controlled from the symbolic system by fuzzy slots which will be compared with the activation of the certainty-unit. Cause of the ability to represent structures with TCO in a similarity conserving way it is also possible to unify similar terms.

Figure 7: Backprop-architecture for unification

5.2.2 Unification Phase

The coding is the most important part of d-CUP. The unification step itself is quite simple. If we have an encoding of two terms and their unbound variables we can use the trained BP-net to propagate the unifier. After propagation the mentioned comparison between the certainty-unit and the fuzzy slots is done. The representation conserves similarities on the symbols as well as on the connectionist encoding.

It is easy to observe that for the unification rules TAUTOLOGY, ORIENTATION and DECOMPOSITION the representation is as similar as the symbolic terms if the symbols and the numerical distances of representations are compared. An encoding that fulfills this also for the APPLICATION can not be found. The ground for this is: If we find such a representation there would be a numerical encoding of the unification and we could test unifyability of two terms by simple vector-substration in constant time. It is, however, proven that unification belongs to the hardest problems in P. If we had found such a representation we would have also found a highly unlikely result from the complexity view. But we can see that for our purpose the representation works quite well and the network can be trained.

6 Results

Criteria
As criteria we want to observe if we are able to fulfill our goals of the introduction.

For sure it is an obvious criteria to look for the efficiency of computation. We want to take the time-consumption in dependence of the length of input-terms. Of course it is necessary to take also the time for (de-)coding. Also an important factor is the training-time of the BP-net. This time is difficult to compare with systems which need not to be trained. Therefore we did not calculate this time. We think our error to this fact is not to big, cause we have to train the system only once.

It is more difficult to look at the extensions of CUP. If we take the E-unification as an extension we can compare it to the theoretical results in unification theory. It is more difficult to rate fuzzification cause it was not implemented before. Therefore we do not have any comparison. It seems, however, to be useful to take the degree we are able to control fuzziness as a criteria for our system. A system that is not able to do strict unification is worthless.

Beside unification we can have a deep view to the representation. As seen in section 3 we can show similarity between representation and symbols with respect to TAUTOLOGY, ORIENTATION and DECOMPOSITION (and in l-CUP also for APPLICATION). The similarity between representations is for d-CUP also independent from the unification method.

Results

We first tested CUP's speed. The results for the time consumption are based on five different methods. We examined 64,458 unifications during the proof of queries made with a Prolog-based library-database-system containing about 7,000 clauses. Figure 8 shows the consumed time for different unification algorithms in a logarithmically scaled form.


Figure 8: Comparison of time-consumption
100% for the square-time method are 26,715,102 unification steps. The result for d-CUP is of course better than l-CUP but we should remark that d-CUP approximates unification. On the other hand d-CUP did right on every unification during tests.

We examined several E-unification problems which are based on the axioms in table 1.

A f(f(x, y), z) = f(x, f(y, z))
C f(x, y) = f(y, x)
D DR f(x, g(y, z)) = g(f(x, y), f(x, z))
DL f(g(z, y), z) = g(f(x, z), f(y, z))

Table 1: E-equations for Associativity, Commutativity, and (left & right) Distributivity
Table 2 gives an overview over the equational-theories which derive out of this axioms. Some of these theories are decidable some are undecidable. The theories fall in the three classes Uu(E), Ui(E) and Uf(E). If the theory is undecidable there exists no terminating algorithm which decides if at least one admissible unifier exists for this equational-theory. For this theories a heuristic which approximates the decision is useful. A disadvantage is that there are some theories which are not unitary like the Prolog-unification. CUP is designed for unitary unification and will compute for every theory only one unifier. This unifier seems to be calculated like a syntactic unifier.

Concluding it can be said that CUP is able to do unification and to represent and interpret similarities in a problem-adequate way. Moreover, as discussed in an earlier paper, the representation is very robust [38]. The system is also able to do extended unifications like E-unification or infinite unification.

axioms decidable ? unification-class ref.
Ø yes unitary [9]
A yes infinite [15]
C yes finite [29]
D ? infinite [35]
A+C yes finite [23]
A+D no infinite [33]
C+D ? infinite [34]
A+C+D no infinite [33]

Table 2: Set of E-unification-problems

7 Discussion

CUP is, as mentioned, able to do (extended) unification. Among the connectionist unification methods only Müller, Stolcke and Hölldobler implement complete unification [10, 18, 31]. Hölldobler's method has also the ability to deal with infinite unification but it is not able to deal with uncertainty.

Stolcke mentioned that activations of a connectionist unification net could be used as signals for uncertainty [31, p.88]. A similar idea also appears in Shastri [27, p.339]. The approach of Stolcke shows the relationship between term-unification, which is done in Prolog, and unification based grammar formalisms. Natural language processing grammar formalisms are often used independently from context. Such a method is syntactically plausible but misses the ability of fault-tolerant analysis. Rules which introduce semantic information promise to improve this. Such extra knowledge is often added to grammars by declarative descriptions [20]. Declarative rules are only capable for cases which are known.

As unification has a sequential nature [5] it is highly unlikely that there is a strict unification method which computes a mgu, like d-CUP, in constant time. l-CUP computes the mgu in linear time and belongs therefore to the fastest -- exact -- unification methods.

D-CUP opens the possibility of fast fault-tolerant computation which also uses context and similarities of structures.

As mentioned in section 5 there are several hardware implementations of unification strategies. Several of this systems have a simple unification-concept. They try to reduce the unification to other, cheaper methods, like term-matching. Often a type-hierarchy of arguments is introduced during compilation. D-CUP uses a strategy similar to matching. Similarities between term-codings are used to get something like unification. Also Stolcke and Wu developed a distributed approach to do term-matching [32].

Classical symbolic methods distinguish between different unification-rules. Such rule-based methods can only seldom be found in distributed connectionist systems. For l-CUP we compared rules and units while talking about a proof of the correctness (section 5.1.2). The units and network of d-CUP can not be divided in parts which realize this rules. But as we look on the similarity relation and the explanation for its adequacy for this aim we used this rules.

8 Conclusion

Connectionists models for unification has been introduced. The models are able to compute a mgu in linear time/approximate the mgu in constant time and belong therefore to the fastest unification methods. The models are able to do infinite unification. Moreover the ability to deal with uncertainty during unification is given. The use of fuzzification can be controlled from the hybrid theorem prover. For l-CUP the correctness, terminating, and completeness of the strategy doing unification can be proved. Furthermore such a prove can be seen as a good argument for the adequacy of the uncertainty-management. Classical methods do not have a natural equivalence to fuzzification. Such mechanisms could be used in information retrieval, data base systems or natural language systems.

Acknowledgements

This work has been partly supported by the German Research Community (``Deutsche Forschungs-Gemeinschaft; grant DFG-Ha 1026/6-1)''. We also would like to thank R. Hannuschka, U. Hartmann, H. Wache, and St. Wermter for their encouragement.

References

1
D.H.Ballard. Parallel logic inference and energy minimization. Technical Report TR 142, Computer Science Department, The University of Rochester, Rochester, NY 14627, Mar. 1986. [2].

2
D.H.Ballard. Parallel logic inference and energy minimization. In Proceedings of the 5th National Conference on Artificial Intelligence (AAAI-86), pages 203--208. (Philadelphia, PA), 1986. [1].

3
R.S.Boyer and J.S.Moore. The sharing of structure in theorem-proving programs. Machine Intelligence, 7:101--116, 1972.

4
N.Dershowitz and J.-P.Jouannaud. Rewrite systems. In J. van Leeuven, editor, Handbook of Theoretical Computer Science B: Formal Methods and Semantics, chapter 6, pages 243--320. North-Holland, Amsterdam, 1990.

5
C.Dwork, P.C.Kanellakis, and J.C.Mitchell. On the sequential nature of unification. Journal of Logic Programming, 1:35--50, 1984.

6
N.Eisinger and H.J.Ohlbach. Deduction systems based on resolution. Technical Report SR-90-12, Universität Kaiserslautern, Fachbereich Informatik, D-6750 Kaiserslautern, PO-BOX 3049, 1990. (DVI)

7
J.Hager and M.Moser. An approach to parallel unification using transputers. In Proceedings of the 12th German Workshop on Artificial Intelligence, pages 83--91, 1989.

8
J.Harland and J.Jaffar. On parallel unification for Prolog. New Generation Computing, 5:259--279, 1987.

9
J.Herbrand. Recherches sour la théorie de la démonstration. Travaux de la Soc. des Science et des Lettres de Varsovie, 33(128), 1930.

10
S.Hölldobler. A Connectionist Unification Algorithm. Technical Report TR-90-012, International Computer Science Institute, Berkeley, California, Mar. 1990.

11
G.Huet. Resolution d'equations dans les langages d'odre 1, 2, ..., w. PhD thesis, Université de Paris VII, 1976.

12
Y.Kaneda, N.Tamura, K.Wada, H.Matsuda, S.Kuo, and S.Maekawa. Sequential Prolog machine PEK. New Generation Computing, 4:51--66, 1986.

13
K.Knight. Unification: A multidisciplinary survey. Computing Surveys, 21(1):93--124, Mar. 1989.

14
T.Kohonen. Self-Organization and Associative Memory. Springer Series in Information Sciences. Springer Verlag, Berlin, 1984.

15
M.Livesey and J.Siekmann. Termination and decidability results for string unification. Technical Report Memo CSM-12, Computing Center, Essex University, 1975.

16
A.Martelli and U.Montanari. An efficient unification algorithm. ACM Transactions on Programming Languages and Systems, 4(2):258--282, Apr. 1982.

17
Y.Miyata. A User's Guide to PlaNet Version 5.6 : A Tool for Constructing, Running, and Looking into a PDP Network. Department of Computerscience, University of Colorado, Boulder, version 5.6 edition, Jan. 1991.

18
J.Müller. Assoziative Prozessoren und ihre Anwendung für das Theorembeweisen. Master's thesis, Universität Kaiserslautern, 1983.

19
M.S.Paterson and M.N.Wegman. Linear unification. In Proceedings of the Symposium on the Theory of Computing, 1976.

20
F.C.N.Pereira and S.M.Shieber. The semantics of grammar formalisms seen as computer languages. In Proceedings of the 10th International Conference on Computational Linguistics, pages 123--129. (Stanford University, Stanford, CA), July 1984. [28, I:37-58].

21
T.A.Plate. Holographic reduced representations. Technical Report CRG-TR-91-1, Department of Computer Science, University of Toronto, Toronto, Ontario, Canada, May 1991.

22
T.A.Plate. Holographic recurrent networks. In C.L.Giles, S.J.Hanson, and J.D.Cowan, editors, Advances in Neural Information Processing Systems 5, San Mateo, CA, 1993. (1992), Morgan Kaufmann.

23
G.D.Plotkin. Building in equational theories. Machine Intelligence, 7:73--90, 1972.

24
J.A.Robinson. A machine-oriented logic based on the resolution principle. Journal of the ACM, 12(1):23--41, Jan. 1965.

25
J.A.Robinson. Computational logic: The unification computation. Machine Intelligence, 6:63--72, 1971.

26
P.Robinson. The SUM: An AI coprocessor. Byte, 10(6):169--180, June 1985.

27
L.Shastri. A connectionist approach to knowledge representation and limited inference. Cognitive Science, 12:331--392, 1988.

28
S.M.Shieber, F.C.N.Pereira, L.Karttunen, and M.Kay. A compilation of papers on unification-based grammar formalisms. Technical Report CSLI-86-48, Center for the Study of Language and Information, Leland Stanford Junior University, Apr. 1986.

29
J.Siekmann. Unification of commutative terms. Technical Report IB 2/76, Institut für Informatik I, Universität Karlsruhe, 1976.

30
P.Smolensky. On variable binding and the representation of symbolic structures in connectionist systems. Technical Report CU-CS-355-87, Department of Computer Science & Institute of Cognitive Science, University of Colorado, Boulder (CO), Feb. 1987.

31
A.Stolcke. Generierung natürlichsprachlicher Sätze in unifikationsbasierten Grammatiken, Ein konnektionistischer Ansatz. Master's thesis, Technische Universität München, 1988.

32
A.Stolcke and D.Wu. Tree matching with recursive distributed representations. Technical Report TR-92-025, International Computer Science Institute, Berkeley, California, Apr. 1992. Paper to be represented at the Workshop on Integrating Neural and Symbolic Processes -- the Cognitive Dimension at the National Conference on Artificial Intelligence, San Jose, CA, July 1992.

33
P.Szabó. The undecidability of the Da-unification problem. Internal Report IB 04/78, Institut für Informatik I, Universität Karlsruhe, Karlsruhe, PO BOX 6380, 1978.

34
P.Szabó. Theory of First Order Unification. PhD thesis, Universität Karlsruhe, 1982.

35
P.Szabó and E.Unvericht. The unification problem for distributive terms. Internal Report IB 13/78, Institut für Informatik I, Universität Karlsruhe, Karlsruhe, PO BOX 6380, 1978.

36
M.Venturini-Zilli. Complexity of the unification algorithm for first-order expressions. Technical report, Consiglio Nazionale Delle Ricerche Instituto per le applicazioni del calcolo, Rome, Italy, 1975.

37
J.S.Vitter and R.A.Simons. Parallel algorithms for unification and other complete problems in P. In Proceedings of the ACM 1984 Annual Conference: The Fifth Generation Challange, San Francisco, CA, Oct. 1984.

38
V.Weber. Connectionist unification with a distributed representation. In International Joint Conference on Neural Networks, IJCNN'92, volume III, pages 555--560, Beijing, China, Nov. 1992. INNS, CNNC, and IEEE NNC.

39
V.Weber. Unifikation in Prolog mit konnektionistischen Modellen. Master's thesis, Universität Dortmund, Feb. 1992.

40
V.Weber. Unification in Prolog by connectionist models. In Proceedings of the Fourth Australian Conference on Neural Networks, ACNN'93, pages A:5--8, Sidney, Feb. 1993. (Melbourne, Australia), SEDAL, University of Sydney Electrical Engineering.

41
H.Yasuura. On the parallel computational complexity of unification. Technical Report TR-027, ICOT, Oct. 1983.

Appendix

Connections of the relax-net

In all other cases the units are not connected.

Activation-functions of the relax-net